
ONLINE STORE: Order processing with credit card!
| Click and print (find a size to fit your printer):
|
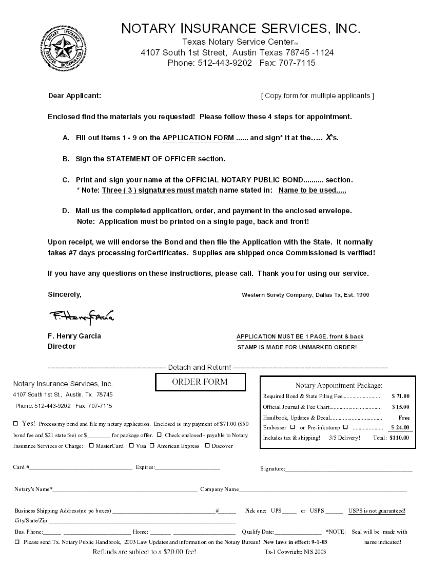
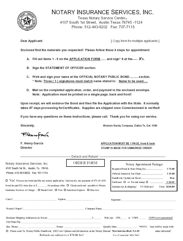
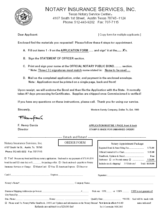
Texas Notary Law simplified the application process!
Applicant can print the NEW two-sided form onto one page,
complete the form, sign it three (3) times, and then submit
it with Order Form and a payment to:
Texas State Notary Bureau,
4107 South 1st Street,
Austin, Texas 78745-1124.
We accept credit cards, money orders, business and personal checks.
Go to www.TxNotary.com for quick
and easy credit card processing!
| You can also print all the pages above as an Acrobat document in this
Notary Appointment Package. Install this free Adobe Acrobat Reader if the support for this format is not available in your browser. |
|
|
| |||
|
| |||
|
| |||
IF YOU THINK YOU ARE COVERED IN SUCH CASES BY YOUR NOTARY BOND, YOU ARE MISTAKEN. THE BOND PROTECTS THE PUBLIC -- NOT THE NOTARY. The notaries in these cases were covered by Western Surety Notary Public Errors and Omissions Insurance. They paid every dollar of their damages and legal costs. That's right, there's no deductible on the Western Surety Policy.
Can you afford a costly lawsuit because you made an innocent mistake and were an easy "target" for someone trying to recover losses? Notary Public Errors and Omissions Insurance is your best safeguard against costly and time consuming lawsuits. Even if no damages are awarded, you could incur thousands of dollars in legal fees if you aren't covered. You'll pay those defense costs out of your own pocket -- win or lose.
You've undoubtedly protected your personal effects from certain threats with other types of insurance. Don't neglect to protect your notarial acts with Notary Public Errors and Omissions Insurance. The term of the policy is the same as your commission. Policies may be purchased at a nominal premium with various limits. Don't wait. Protect yourself and those who depend on you . . . now! A 10% rate reduction is now in effect.
Most claims are not the result of intentional wrongdoing. Simple human error is nearly always the culprit, but the Notary is liable nevertheless and must pay all damages resulting from improper notarial acts.
Through Western Surety, the nation's largest surety company offers you low-cost Errors and Omissions insurance for your protection. Don't go unprotected! You need to protect yourself with Notary Errors and Omissions insurance today!
|
F. Henry Garcia was formerly
the Texas Secretary of State Notary Director and a Staff Attorney. He has supervised
in the issuance of over 470,000 commissions, and provides notaries a rare insight into the
processes of Texas government.
Available for legal consultation and services. We provide up-to-date information on the major law changes just approved by the Texas Legislature. Our company also offers a simplified state-approved renewal appointment process which makes it easier to requalify as a Texas Notary. An updated application form, the bond, and the required supplies have been combined into specially-discounted notary packages. Official seals, stamps, journals, decals, fee charts, and education materials are provided in all packages. We guarantee all products and services, and provide a toll-free Hotline for Notary Bureau participants. Our goal since 1985 has been to always meet the needs of Texas Notaries in a professional and courteous manner. As the only original Texas-based notary service organization, we offer the most accurate and complete service in the state. |
email:
nisi@sunscape.com
Notary Insurance Services, Inc.
4107 South 1st Street
Austin, Texas 78745
(512) 443-9202
(512) 707-7115 fax